![]()
Los almidones son un tipo de sustancia de origen vegetal de difícil digestión, pero muy habituales en diferentes platos de cocina pues resultan sabrosos al paladar. Los podemos encontrar en variadas clases de alimentos como las papas, el pan, la pasta, los garbanzos, la batata, la zanahoria… Pero ¿qué son realmente los almidones? ¿Son todos los almidones iguales? ¿Acaso los almidones son perjudiciales para la salud?

Alimentos nocivos para la salud
El azúcar, el veneno oculto que mata
La leche y los lácteos, ¿un mito creado?
¿Qué es el almidón?
Los almidones se encuentran presentes en alimentos que solemos comer todos los días. El almidón es un hidrato de carbono o, también llamado carbohidrato complejo, debido a que requiere de una lenta digestión. Los alimentos con almidones forman parte de nuestra dieta y es muy recomendado consumirlos, pero ¿qué alimentos tienen almidón y para qué sirven estos hidratos de carbono?
Existen dos clases de almidones:
- Los almidones de los alimentos naturales.
- Los almidones procesados.
El almidón se encuentra en vegetales y cereales, pero también en tubérculos, semillas, raíces o frutos. De hecho, las plantas almacenan energía de reserva transformándola en almidón. Hablamos pues de almidones naturales y no de productos fabricados industrialmente.
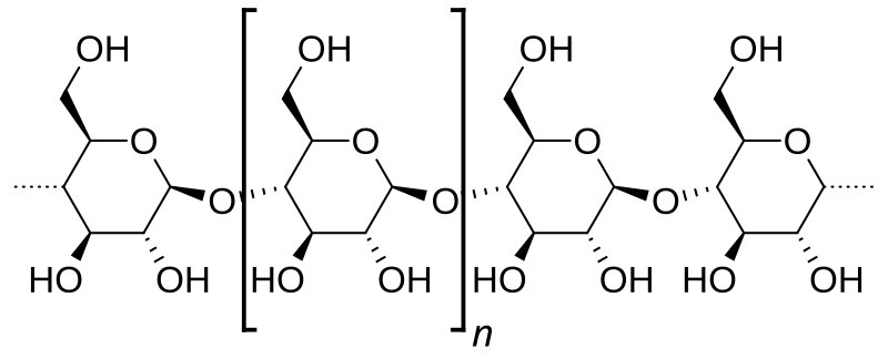
Los almidones se definen como macronutrientes polisacáridos muy difíciles de digerir y de lenta y compleja absorción. Se trata de un tipo de hidratos de carbono que guarda encapsulado gránulos de monosacáridos, es decir, moléculas de glucosa. Por tanto, los polisacáridos constituyen cadenas de azúcares simples (amilosa y amilopectina).
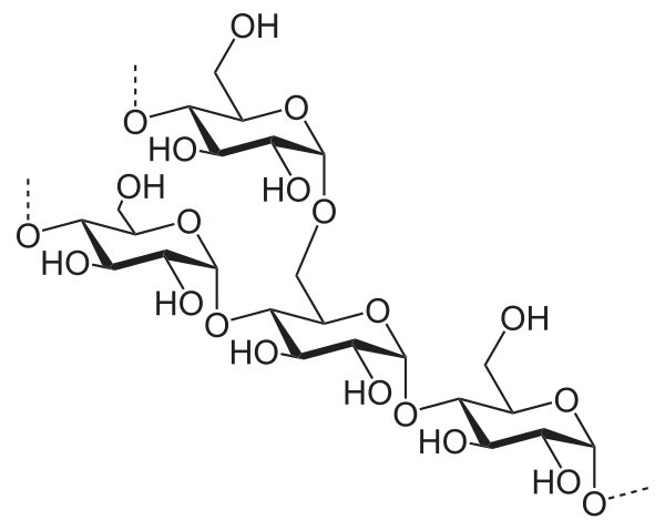
El almidón se compone de dos moléculas complejas, la amilosa y la amilopectina, que son cadenas de moléculas de glucosa. En la amilosa, las moléculas de glucosa se disponen de manera lineal, mientras que, en la amilopectina, lo hacen de manera ramificada.

Amilosa: alimentos de absorción lenta

Amilopectina: alimentos de absorción rápida
Cuando el almidón proviene de un tubérculo, se le denomina fécula. Y cuando proviene de un cereal, se le denomina almidón.
Las papas, los cereales, los plátanos o la pasta son ejemplos de alimentos con almidón. No todos los alimentos tienen la misma cantidad de almidón. Los cereales contienen mucho almidón y, de hecho, es de los alimentos que más almidón tienen.
Los cereales no son un alimento ideal que deba incluir en su dieta una persona que quiera bajar de peso o que tenga problemas de azúcar como la diabetes. O, por lo menos, no habitualmente.
Monosacáridos
Se trata de azúcares de rápida absorción y son los más simples que existen. ¡Haz clic en el siguiente botón para saber más!
Disacáridos
Es un tipo de glúcido compuesto por dos monosacáridos. ¡Conoce más sobre los disacáridos y en qué alimentos los puedes encontrar!
Polisacáridos
Los polisacáridos son un tipo de hidrato de carbono de compleja digestión. ¡Descubre ya qué son los polisacáridos y cómo afecta a tu digestión!
La absorción del almidón: la clave para controlar el sobrepeso y la diabetes

Muchas veces nos hemos preguntado si el almidón engorda o, incluso, si es necesario para la salud. Aquí tienes la respuesta a todas estas dudas para comprender cómo controlar los problemas de peso, la diabetes y tener salud.
El almidón se compone de dos moléculas complejas o polisacáridos: la amilosa y la amilopectina. No todos los alimentos que contienen almidón tienen la misma proporción de estas dos moléculas. La proporción de una molécula o de otra varía según los alimentos.
Por ejemplo, la batata, camote o boniato, contienen mayor proporción de amilosa. Por el contrario, las papas contienen gran cantidad de amilopectina.
La amilosa es una estructura lineal de moléculas de glucosa que ofrece resistencia a romperse por medio de las enzimas digestivas del cuerpo, lo cual hace que sea de absorción lenta y no eleve rápidamente los niveles de glucosa en sangre. Es decir, los alimentos con amilosa no provocan picos de insulina.
Por el contrario, las moléculas de glucosa de la amilopectina se disponen de manera ramificada, lo cual hace que la amilopectina se degrade muy rápidamente por las enzimas digestivas y se absorba con gran rapidez, provocando subidas altas de glucosa en sangre y picos de insulina.

Estos cinco venenos blancos los consumes a diario y no te has dado cuenta de que forman parte ya de tu vida. ¡Descubre ya cuáles son y cómo afectan a tu salud!
Almidones con más amilosa (absorción lenta)

Amilosa: alimentos de absorción lenta
Los almidones de absorción lenta son aquellos que contienen mayor porcentaje de amilosa, siendo más beneficiosos a la hora de evitar el sobrepeso, la obesidad, el cáncer o la diabetes.
Ejemplos de aquellos alimentos que contienen almidón con mayor proporción de amilosa:
- Batata
- Yuca
- Boniato
- Papas como almidón resistente
Almidones con más amilopectina (absorción rápida)

Amilopectina: alimentos de absorción rápida
Este tipo de almidones son de asimilación rápida y provocan subidas de glucosa y picos de insulina. Son, por tanto, perjudiciales a la hora de controlar el sobrepeso, la obesidad, el cáncer, el Alzheimer o la diabetes.
Como ejemplo de alimentos con mayor porcentaje de amilopectina, tenemos:
- El maíz
- Las papas
- El trigo
- El arroz
Este tipo de alimentos o de productos procesados deben evitarse o habría que consumirlos de manera muy ocasional.

El Índice Glucémico y su importancia. ¿Qué es el IG?
El Índice Glucémico, también llamado Índice Glicémico o IG por sus siglas, se empleaba como una herramienta para controlar la diabetes. Más tarde, se comenzó a utilizar también para controlar el colesterol o para conseguir eliminar grasa y bajar tallas.
¡Conoce ya lo que es el IG y mejora tu salud y energía!✅
Lista de 20 alimentos con almidón
El almidón es un carbohidrato de origen vegetal que aporta energía a las células y que se encuentra en cereales, legumbres y tubérculos.
Gran parte de lo que comemos o de lo que hay en el supermercado contiene almidón. El almidón es un tipo de macronutriente que encontramos naturalmente en los alimentos o, incluso, añadido a productos alimentarios.
Existe un prejuicio sobre los hidratos y el almidón pues se considera que son perjudiciales y que engordan. Ciertamente, no todos los almidones son iguales y te vamos a ofrecer una lista de alimentos con almidones buenos y almidones malos para que entiendas qué tipo de almidones es preferible consumir y cuáles deberíamos ingerir ocasionalmente.

¿Cómo se engorda?
¿Harto de contar calorías en las comidas? ¿Sientes que no quedas satisfecho después de comer pero la tabla de calorías no te da más opciones? ¿Son realmente las calorías las que nos hacen engordar?
Si un menú de comida chatarra tiene las mismas calorías que un plato de comida con alimentos saludables, entonces, ¿para qué sirve contar calorías? ¡Descubre ya cómo llegamos a engordar haciendo clic en el siguiente botón!
¡Y vuélvete esbelto y sano!
6 almidones buenos
- Algunos vegetales como, por ejemplo, la calabaza, las papas (como almidón resistente), el ñame, la yuca o la habichuela.
- Batata, boniato o camote.
- Legumbres como, por ejemplo, lentejas, judías o garbanzos.
- Cereales como la avena, el mijo o la quinoa, que, a pesar de ser almidones y que habría que consumirlos ocasionalmente, son saludables.
- La avena pero ecológica y sin azúcares añadidos.
- Harina de coco o de almendras.
14 almidones malos
- Pan industrial.
- Pasta industrial.
- Harina común. La harina conlleva un procesamiento industrial y, además, al contener gluten, es perjudicial para la salud intestinal si se consume habitualmente.
- Arroz. El arroz es un producto procesado, con lo que es necesario controlar su consumo en personas que quieran bajar de peso, que tengan problemas intestinales o que padezcan de diabetes.
- La avena. La avena contiene muchos nutrientes pero lo cierto es que la mayor parte de la avena industrial sube mucho los niveles de glucosa, con lo cual habría que consumirla con mucha moderación o comprar avena de origen ecológico y sin azúcares añadidas. Por lo tanto, este cereal puede ser un almidón bueno pero también malo.
- Maíz. La mayor parte del maíz (más del 80%) que se produce en el mundo está modificado genéticamente. Numerosos estudios científicos han demostrado que el consumo de los alimentos modificados genéticamente representan un riesgo para la salud de las personas. Pero también se afirma que no se ha estudiado su impacto sobre la salud de las personas lo suficiente antes de ponerlos en el mercado de la alimentación.
- Gluten. Muchas personas sufren de intolerancia al gluten. El gluten es la proteína del trigo. Si eres intolerante al gluten, no vas a poder adelgazar y bajar tallas. Además, el gluten es pegajoso e irrita el intestino.
- Trigo. El trigo se encuentra en un montón de alimentos y de productos como, por ejemplo, las salsas industriales.
- Galletas industriales.
- Pasteles procesados por la industria alimentaria.
- Zumos de frutas industriales.
- Cerveza.
- Bizcochos industriales.
- Productos refinados en general.
Los almidones se pueden comer pero con moderación pues es una fuente de hidratos de carbono muy alta. Sin embargo, hay muchas personas que tienen intolerancia a los alimentos con almidón y no pueden consumirlos. No obstante, existen alimentos alternativos con los que podrás sustituir los macronutrientes procesados comiendo bien y adelgazando.

Comer postres ya no será un problema con las recetas más sencillas, baratas e hipocalóricas. ¡Haz estos postres en casa y disfruta con la familia cuidando la salud de todos!
¿Cómo afecta el almidón refinado a la salud?

Los almidones refinados industriales, como la pasta o los cereales procesados, son una fuente de energía procesada o no natural para nuestro organismo, pero ¿cómo nos afecta el consumo de almidones procesados?, ¿nos podemos dar cuenta de que realmente existe un problema cuando ingerimos almidones industriales?
La digestión, cuando comemos, se produce mayormente en el tracto intestinal. Los almidones procesados son hidratos de carbono refinados y resultan pegajosos cuando llegan al tracto intestinal, produciendo irritación en los intestinos. El cuerpo hace frente a esta irritación en los intestinos con la producción de moco para tratar de defenderse de esta irritación que, si se cronifica, dará lugar al Síndrome del Intestino Irritable.
A medida que vamos aumentando el consumo de hidratos de carbono refinados, nuestro cuerpo va generando más y más moco intestinal. Este moco en los intestinos se mezcla con sustancias tóxicas generadas por los alimentos perjudiciales que hemos ingerido y por la fermentación de los alimentos por la lenta o mala digestión de estos.

¿Cómo nos damos cuenta de que los refinados nos están haciendo daño? Esta mezcla explosiva la advertimos cuando vamos al baño a evacuar y observamos este moco en las deposiciones. En este momento, podemos decir que nuestro organismo nos está avisando de que hay un problema real.
Nuestro cuerpo trata de expulsar este moco tan extendido y mezclado con sustancias tóxicas generadas por los alimentos procesados. Además, las toxinas pueden llevar tiempo acumuladas en ese moco intestinal producido para combatir la irritación en los intestinos, con lo cual la mezcla de mocos con toxinas puede ser altamente perjudicial.
Esta combinación de mucosidades y toxinas resulta fatal ya que hace que nuestro cuerpo no absorba correctamente nutrientes, además de que el cuerpo absorberá este combinado de tóxicos en estado de pudrición si no lo puede expulsar del cuerpo.
Sumado a esto, este moco que impregna el tejido intestinal, con el tiempo, se va secando y forma una capa dura y negra con aspecto de cuero que impide que podamos absorber las vitaminas y nutrientes, generándose fermentaciones, dolor abdominal y gases.
¿Qué consecuencias tiene la ingesta continua de alimentos perjudiciales refinados con la mezcla de moco intestinal y de sustancias tóxicas? Si continuamos ingiriendo alimentos procesados y carbohidratos refinados, seguiremos intoxicando nuestro cuerpo, ralentizando nuestro metabolismo y reduciendo el correcto funcionamiento de nuestros órganos, con todo lo que esto conlleva: diabetes tipo 2, hígado graso, obesidad, problemas de visión, irritabilidad, falta de concentración, diarrea o estreñimiento (o, incluso, intervalos de ambos), alergias, etc. Entonces y si esta situación no se corrige, aparecerán enfermedades crónicas como el cáncer, el Alzheimer o el Parkinson. Se trata de una intoxicación gradual que daña el organismo creando un ambiente tóxico y propicio para la aparición de parásitos u organismos microscópicos oportunistas.
Este es el efecto que produce en nuestro cuerpo una mala alimentación o una alimentación basada solamente en hidratos de carbono industriales, almidones refinados o comidas ultraprocesadas.
Consecuencias de desequilibrios que nos enferman

¿Son todos los almidones perjudiciales?
Algunas personas opinan que los almidones son buenos y otras afirman que son malos. Esto crea mucha confusión en las personas y por eso en Alimentación Milagrosa vamos a explicarte bien cuándo los almidones son beneficiosos o perjudiciales y por qué.
Por un lado, tenemos los almidones de origen vegetal provenientes de cereales, legumbres y tubérculos que son hidratos de carbono beneficiosos, sin embargo, se trata de alimentos muy energéticos y de índice glicémico elevado. Por tanto, estos almidones saludables tendríamos que consumirlos con moderación en una dieta para adelgazar.
Estos almidones saludables los podemos convertir en almidones resistentes. Bajo esta forma de almidones resistentes, estos carbohidratos se transforman en alimentos prebióticos, que son muy saludables para nuestra microbiota (flora intestinal).
Y, por otro lado, tenemos el almidón procesado o el almidón modificado, los cuales son enemigos de la salud y hay que evitar su consumo o reducirlo bastante.
Existen estudios que advierten sobre el uso de alimentos modificados genéticamente o alimentos transgénicos. Algunas de estas publicaciones han sido retiradas y otras han recibidos fuertes presiones.
Vivimos en un mundo voraz comercialmente hablando. Este estudio sobre el efecto en la salud de la ingesta de alimentos transgénicos a los que se les echan pesticidas basados en glifosato ha tenido una fuerte oposición porque no arroja nada positivo al uso de pesticidas con glifosato ni al consumo de alimentos transgénicos.
La industria alimentaria emplea cultivos modificados genéticamente porque los cultivos naturales no son capaces de soportar pesticidas como el glifosato. Esto hace que pueda darse una producción mayor y así ganar más dinero.

Los alimentos genéticamente modificados (o alimentos transgénicos) no son saludables y tampoco es nada bueno el uso de pesticidas. El consumo habitual de este tipo de alimentos hará que tengamos mayor probabilidad de sufrir problemas de salud en órganos como los riñones o el hígado. Este estudio en ratones demostró una mayor incidencia de tumores, y órganos como los riñones, el hígado o la pituitaria se ven muy afectados por consumir este tipo de alimentos tratados con glifosato.
Consumir almidones o alimentos que sean procesados o modificados no es bueno pero, la frecuencia de su consumo hace que tengamos mayor probabilidad de tener serias consecuencias como vemos en la imagen.

6 consejos para tener una digestión saludable
¿Sufres de pesadez en el estómago cuando terminas de comer? ¿Tienes gases y flatulencias después de cada comida? ¿Sientes que algo no está yendo bien en la digestión de los alimentos que ingieres cada día?
¡Conoce ya 6 consejos para tener una digestión mejor y evitar tantas molestias inoportunas! ¡Haz clic en el siguiente botón!
¿Qué son los almidones resistentes prebióticos?
Para entender qué son los almidones resistentes prebióticos, debemos explicar primero qué es el almidón resistente, qué son los prebióticos y qué diferencia existe entre prebiótico y probiótico.
Los prebióticos son fibras vegetales que sirven de alimento a las bacterias beneficiosas del intestino grueso. No son digeribles, sino que pasan a través del aparato digestivo directamente al intestino grueso y solo valen para alimentar las bacterias buenas de la flora intestinal del colon.
Estas fibras vegetales son ingredientes que forman parte de los almidones resistentes y que no se digieren. Cuando comemos almidón resistente, estas fibras vegetales llegan intactas al colon y alimentan a todos los microorganismos que se encuentran en él. Son los nutrientes de esta microflora intestinal.
Por no conllevar un proceso digestivo, no elevan la glucosa en sangre ni disparan los niveles de insulina, por lo que no te engordarán y te ayudarán a mejorar la diabetes y a no subir de peso.
Los almidones resistentes forman parte del grupo de alimentos prebióticos. Este tipo de alimento no digerible favorece la proliferación de bacterias beneficiosas para la microbiota intestinal, que es excelente para fortalecer el sistema inmune y, por tanto, reforzar las defensas del organismo, favoreciendo de esta manera la salud y el aumento de energía.
Los probióticos son alimentos o suplementos que contienen microorganismos vivos que se añaden directamente a la flora intestinal. Un ejemplo claro de alimentos probióticos es el yogurt o el chucrut. Estos microorganismos beneficiosos habitan en nuestro intestino y nos ayudan a tener salud y las defensas fuertes.
En el intestino hay muchos tipos de bacterias beneficiosas y otras que son malas (bacterias que causan putrefacción) u oportunistas. El almidón resistente ayuda y nutre las bacterias beneficiosas. No todos los alimentos tienen el mismo porcentaje de almidón resistente. Asimismo, alimentos como el arroz integral o las legumbres llevan una preparación previa indispensable para que se conviertan en almidones resistentes.
¡Haz clic en los siguientes botones para conocer toda la mejor información nutricional curativa! ✅😊
Preparación del almidón resistente
Es importante saber la preparación de los almidones resistentes para lograr que alimentos como, por ejemplo, los garbanzos o el arroz integral, se conviertan en almidones resistentes tras haberlos cocinado.
Los almidones resistentes son fáciles de preparar y se logran de la siguiente manera:
- Cocer el alimento que contiene almidón.
- Dejarlo enfriar.
- Taparlo y guardarlo en la nevera 24 horas en la parte más fría pero que no sea el congelador.
- Después de esas 24 horas ya podemos consumirlo pero sin volver a calentarlo pues volveríamos a convertirlo en un alimento fácilmente digestible de índice glicémico alto.
Consumiendo este tipo de alimentos preparados de esta manera se pueden combatir enfermedades como la colitis ulcerosa, la enfermedad de Crohn e intestino irritable, pues actúan contra la inflamación y refuerzan el sistema inmunitario.












Deja una respuesta